レビュー
研ぎ澄まされたリニアなスイッチは文句なしに素晴らしい
BenQ ZOWIE CELERITAS II
メンブレンにメカニカルキー,そして静電容量無接点方式が今日(こんにち)におけるゲーマー向けキーボード用スイッチの主流だが,BenQのゲーマー向け製品ブランドであるBenQ ZOWIE(以下,ZOWIE)から,新たに光学スイッチ搭載のキーボード「CELERITAS II」(セレリタス2)が登場した。
![]() |
徹底したプロユース指向で,「市場受けを狙うために新技術を採用する」ようなブランドからは最も遠い存在と言えるZOWIEが,まだ採用事例のあまり多くない光学スイッチを進んで採用したというのはそれだけで「事件」だが,そんなCELERITAS IIはゲーマー向けキーボード市場に何をもたらすのか。初採用のテストも交えつつ,検証してみたい。
光学スイッチをチャタリング対策に採用し,バネのチューニングのほうに時間をかけたZOWIE
![]() |
初代CELERITASは,欧州市場を中心にかなりの人気を集めたと記憶しているが,ZOWIEは「金属接点を用いるメカニカルキースイッチではチャタリングが避けられず,それをキャンセルするためには,基板上の回路かもしくはソフトウェア的に遅延を入れる必要があり,それがキーボードの反応速度を低下させる」という,メカニカルキースイッチの原理的な問題に当時から悩んでいたのだそうだ。
![]() |
金属接点を採用するメカニカルキースイッチではチャタリングを抑えるために5msの遅延を入れねばならないところ,Flaretech Switchであれば0.03msで済むそうで,これが採用の決め手になったという。
![]() |
![]() |
光の強弱を取り込むセンサーには主にCdS(Cadmium Sulfide,硫化カドミウムだが,電子部品の世界ではセンサーの名前として使われている)とフォトトランジスタ(≒フォトダイオード)の2種類がある。このうちCdSは安価だが反応がとても遅いので,キースイッチに使うのは無理だろう。よってキー1つ1つにフォトトランジスタを埋め込んでプランジャーの押下量を検出するという,かなり高コストなキースイッチだと考えられる。
明るさの強弱で押下量を検出していることから,機械的な構造はシンプルで,それゆえに耐久性は高いそうだ。Wootingによれば,キーあたり1億回の押下に耐えるとのことである。
![]() |
![]() |
ZOWIEがこだわったのは押下感のほうで,いわく「バネは(Flaretech Switchの)標準ではなく,我々が徹底的なカスタマイズを行い,真の意味においてリニアな押し心地を実現できている。今回のスイッチでより重要なのはこちらのほうだ」とのことである。
測定器を使い,「キー押下に必要な力」を追う
![]() |
今回は測定器メーカーであるイマダからデジタルフォースゲージ ZTAシリーズ「ZTA-50N」の貸し出しを受けることができたので,これを用い,キーの押下に必要な力の変化を調べてみることにした。
![]() |
| 専用スタンドに取り付けたところ。右に見えるノブでZTA-50Nを上下させることができる |
![]() |
| 測定のイメージ |
ZTAシリーズと,オプションの専用計測スタンド「MSF-50N」を組み合わせることで,「測定器の先端が押し込んだ距離」と「そのときに先端にかかっている力」を同時に測定することができる。ZTA-50NをMSF-50Nに取り付けて,ZTA-50Nの先端でキーボードのキーを押せば,押下に必要な力を簡単に測定できるわけである。
どんな感じで測定するのかは,動画で見てもらったほうが分かりやすいだろう。下に示したのは,専用スタンド側のノブを回してZTA-50Nの先端でキーを底まで押し,また戻すという,一連の作業を撮影したものだ。
![]() |
ただ,上の動画から察してもらえると思うが,今回の測定機材では,被測定対象を置くスペースに奥行きがないため,キーボードのテストにあたっては端にあるキースイッチしか測定できないという制限がある。専用スタンドに頑丈なアームなどを取り付けるなどの工夫をすればなんとかなりそうだが,今回は測定器が借り物で,かつ貸出期間も2日程度しかなかったため,そこまでの手間はかけていない。
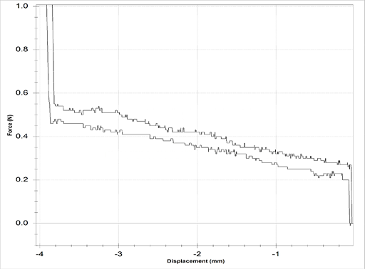
というわけでまずは,CELERITAS IIの向かって右端にある[+]キーの測定結果をグラフ化したものを例として下に掲載しておこう。
![]() |
上の動画から分かるように,テストは「測定器がキーを押し,離れる」という往復運動になるため,グラフでは往復分の線を描く。上の線が押し込み時,下の線が戻り時のものだ。
グラフは横軸の右が押し始めで,左に向かって押した深さを0.2mm刻みで示す。縦軸が前述した「ZTA-50Nの先端にかかっている力」だ。グラフの左側で線が急上昇しているのは,キーを一番深くまで押し込んで,底打ちしたことを意味している。
ZTA-50Nで測定できる力の単位は「N」(ニュートン)だが,キーボードのキースイッチではカタログ値として「gf」(g-force,グラム重)を使うケースが多い。換算の目安は「0.5N≒51gf」と理解しておけば十分だろう。
キースイッチの荷重は一般に30g〜60gとされるが,要するに30gf〜60gfのことであり,Nに換算すると押下にはざっくり0.3N〜0.6N程度の力が必要ということになるわけだ。
それを踏まえてあらためてグラフを見てみると,CELERITAS IIの[+]キーでは押し始めが0.3N弱,底打ちする直前で約0.55Nとなっている。多少の凹凸はあるものの,グラフの線はほぼ左上がりで,押し込む深さと力が比例していることが分かるかと思う。
![]() |
![]() |
グラフの縮尺は前出のグラフとおおよそ合わせてある。縦軸の最大値は約1.0N,横軸は0.2mm刻みで全幅4mm強だ。やや異なるのはグラフを作成するForce Recorderの仕様の関係で,複数の測定値を重ねた際に横軸の原点(0点)が左にくるため横軸の目盛りがプラスになっている点と,自動でふられる縦軸の目盛りが0.02N刻みになっている点だけである。
「ぴったりと押し始めで合わせる」といったことができないため,押し始めと底突きのグラフ位置にズレがある点はご了承を。
それを踏まえてグラフだが,テスト対象となる5個のキーすべてで,グラフの線(以下,便宜的に「負荷曲線」と呼ぶ)が±0.05N以内に収まっており,かつキーごとの傾斜がほぼ一致している点に注目したい。
つまり,ZOWIEが主張しているとおり,CELERITAS IIはキーの押下圧にばらつきが少なく,またリニアな押し心地を実現できているわけだ。
なら,ほかのキースイッチはどうなのか。今回は以下に挙げるキースイッチ(を搭載したキーボード)で,(“外周縛り”はあるものの)無作為に選んだ4キーの負荷曲線を調べてみることにした。
- ZF Electronics「Cherry MX RGB Red」(Mionix「WEI」)
- Razer「Razer Orange switch」(Razer「Razer BlackWidow Ultimate Stealth 2016」)
- オムロン スイッチアンドデバイス「Romer-G」(Logitech G/Logicool G「Pro Gaming Keyboard」)
- 東プレ,静電容量無接点方式(東プレ「REALFORCE RGB」)
テスト結果を順に見ていこう。
まず(WEIの)Cherry MX RGB Redで測定した4キーだが,負荷曲線のバラツキは非常に小さい。とくに押し込み時のバラツキだけを見ると±0.02Nの範囲に収まっているので,むしろCELERITAS IIよりも小さいわけだ。この点はさすが,長年の実績があるCherry MXシリーズと言えるだろう。
CELERITAS IIと異なるのは,押し込むときと戻るときとで,負荷曲線の違いが大きい点である。また,戻るとき,深さ2mm前後のところで急激な負荷の変化が生じ,「負荷の変化が生じる深さ」に±0.5mm程度のばらつきが見られるのがCherry MX Redの特徴と言える。
Cherry MX Redはよく「クリック感のない,リニアな押し心地」と紹介される――筆者もそう書くことはある――が,実際には,接点を軽く擦(こす)るような感触があることを,体験的に知っている読者は多いだろう。これはメカニカルキースイッチだけに仕方のないところだが,グラフで深さ2mmあたりに見られる負荷の変化こそが,この独特の感触を指し示しているのだと思われる。
![]() |
次にRazer Orange switchだが,4本の負荷曲線自体はよく揃っている。ただ,Cherry MX Redと同様,押し込むときと戻るときとで負荷の違いが大きい。具体的には最大0.2N前後だ。
また,戻り時の負荷曲線で,キーから測定器が離れるときにやや乱れる傾向も見られる。きっちりと負荷曲線が揃うCELERITAS IIに比べると乱れが大きく,またCherry MX Redと比べても乱れはやや大きめと言えるだろう。
なお,グラフだと,Razer Orange switchは1mmほど押し込んだところに小さな負荷のピークがあるが,これは本スイッチの特徴となっている,軽い手応えとクリック音を反映したものである。
![]() |
続いてはRomer-Gである。グラフ化の都合でスタートと底打ちしたところが揃っていないので,バラツキが大きく見えるかもしれないが,実際のところ,押し込み時と戻り時の負荷曲線はそこそこ揃っている。
ただ,Razer Orange switchと同様,押し込み時と戻り時には負荷に最大0.2N程度の開きが生じ,またキーから測定器が離れるとき負荷曲線が乱れる傾向を確認できる。CELERITAS IIと比べて負荷の乱れが大きいとは言えるだろう。
Romer-Gも,1mmほど押し込んだところに軽いクリック感があるタイプなので,クリック感を持つスイッチはキーから測定器が離れるときの負荷が乱れやすいのかもしれない。
![]() |
最後に東プレの静電容量無接点方式スイッチだが,これはほかのスイッチとは異なる,独特のカーブを描いている。
今回測定したこれ以外のキースイッチは,押し込み量に応じて押下圧が高まるチューニングになっているのに対し,静電容量無接点方式のスイッチは押し込み量にかかわらずほぼ一定の押下圧になるようチューンされているためだ。
ただ,「一定」と言っても若干のバラツキはあり,やや波打ったような波形になっているキーも見られる。
![]() |
以上,測定器を使ったところ,面白い結果を得ることができた。
今回の測定で分かったのは,どのメーカーのキースイッチも,キーごとの違いは比較的小さいということだ。バネや接点といったスイッチを構成するパーツの均一性は,最近のトップブランドであれば一定レベルを確保できていると言ってしまっていい。逆に言うと,この点でCELERITAS IIに大きな優位性はない。
一方,Cherry MX Redのようにリニアと謳われるメカニカルスイッチや,フラットとされる静電容量無接点方式でも,測定してみると負荷曲線は一直線ではなく,上下動が生じているのが分かる。それに対して,ZOWIEがバネの選定にとことん時間をかけたというCELERITAS IIの場合,負荷曲線に上下動がなく,ほぼ一直線というのが大きな違いだ。他社製品と比べて「よりリニア」なのは,CELERITAS IIの持つ明確な優位性と言っていいだろう。
全体として,CELERITAS IIのスイッチは,「接点の感触がない」点で静電容量無接点方式を彷彿とさせつつも,バネ圧がリニアで音やクリック感がないという点ではCherry MX Redに近い印象がある。
Cherry MX Redにとことん馴染んでいるゲーマーだと,接点の感触がまるでないことに違和感を抱く可能性もあると思うが,バネ圧のリニア感はCherry MX Redを軽く超えている。言うなれば研ぎ澄まされたCherry MX Redといったところなので,静電容量無接点方式もかくやという感触のなさにさえ慣れれば,CELERITAS IIは手放せなくなるのではないかと考えている。静電容量無接点方式に長く親しんでいるゲーマーも,一度は試す価値がありそうだ。
個人的には「ゲーム用途ならもう少しアクチュエーションポイントが浅くてもいいのではないか」と思わないでもないが,先の測定結果からも分かるように,CELERITAS IIのキースイッチは押し始めが軽い。それゆえ,アクチュエーションポイントを浅くすると,非ゲーム用途におけるタイプミスが増えそうな気もするので,バランスを取るためCherry MX Redと同じ設定にしてあるという可能性はあると思われる。
![]() |
![]() |
PS/2はUSBと比べてキー押下からデータをPCが受け取るまでの遅延が小さいことから,かつては一定数のゲーマー向けキーボードがサポートしていたが,最近はゲーマー向けマザーボードでもPS/2ポートを搭載しているケースはごくまれだ。なので,ほとんどの読者にとって,PS/2接続対応はほとんど意味を持たないだろうが,簡単に紹介しておこう。
まず,遅延の小ささだが,これは体感できるかどうかと言えばできる。「使っているゲームPCにPS/2ポートがあるなら,一度はUSBでなくPS/2接続して試してみる価値はある」と言えるレベルである。
![]() |
これは簡単に言うと,キーを押し続けたときに同じキーが繰り返し入力されるキーリピートの速度を変更するためのもので,[Fn]キーと[F9]〜[F12]キーの組み合わせにより,キーリピート速度を標準の「1x」から「2x」「4x」「8x」から選択可能だ。
正直,ゲームでキーリピートを使うことははまずないので,無用な機能とも思えるが,PS/2接続時のちょっとしたオマケとして,その存在は押さえておいてもいいように思う。
なお,CELERITAS IIはUSB接続時,PS/2接続時を問わず,全キー同時押しに対応する。このあたりは抜かりないと言ってよさそうだ。
![]() |
外観は初代CELERITASを踏襲。ZOWIEらしい,とてもシンプルな仕様に
ここまで,CELERITAS IIで最も重要なキースイッチと,性能周りを紹介してきたが,ここからはそれ以外の部分を見ていこう。
身も蓋もない紹介を先に行っておくと,基本仕様のほとんどは初代CELERITASから変わっていないが,さすがに初代機はかなり昔の製品なので,読者の多くは初代CELERITASに触れていないという前提で説明を行っていきたい。
さて,そんなCELERITAS IIの国内モデルは,日本語109キー配列をベースとするフルキーボードだ。右[Alt]キーの代わりに[Fn]キーを搭載するという,ゲーマー向けキーボードで一般的な配列と言ってもいい。
日本語配列モデルだと[Space]キーの行が混み合いやすいのだが,ZOWIEは左[Windows]キーや[変換/無変換]キーを一般的な19mmピッチとすることで[Space]キーに95mmの横幅を確保できている。
![]() |
本体底面のサイズは実測で約440(W)
![]() |
[Space]キーの行,最も手前のところから実測約35mmのリストレスト(パームレスト)が延びているため,ここに手を置くようにすれば,キーの高さはあまり感じない。ただ,リストレストは短いので,筆者のように手が小さい人なら対応できると思われるものの,手が大きめの人だとかなり窮屈に感じるだろう。
![]() |
本体実測重量はケーブル込みで1.3kg,ケーブルを重量計からどかした参考値では約1.25kgだった。いずれにせよ1kg超級の重量があるわけだが,この重さと,本体底面に貼られた細長い滑り止めゴムの効果もあって,安定感は十分だ。手荒なゲームプレイを行ったとしても,筐体がガタガタと動いてしまう心配はまずもって無用である。
![]() |
![]() |
![]() |
![]() |
![]() |
![]() |
![]() |
![]() |
![]() |
ゲームで多用する音量調節やミュートを利用するための機能が[F1]〜[F3]キーに割り当てられており,[Fn]キーからはかなり遠いため,とっさの対応は難しいが,慣れればなんとかといったところか。
減点対象は質感と機能。本質的な性能は文句なしに素晴らしい
![]() |
一方,ここまであえて触れてこなかったが,感心しない部分も散見される。「初代CELERITASと同じ」「いつものZOWIE」と言ってしまえばそれまでなのだが,筐体の質感は,とても2万〜2万1700円程度(※2017年11月27日現在)という実勢価格に見合うものではない。
筐体がつや消しの黒仕上げなのはいいとしても,樹脂の無垢と思われる表面は,指紋や皮脂が残りやすい。USBケーブルは柔軟で取り回しがよいものの,太さは実測約3mmと細く,見た目にも安っぽい。価格とのバランスで言えば,「プロユース」の一言で納得できるレベルを下回っていると言わざるを得ないだろう。
また,機能も充実しているとは言えない。もちろん全キー同時押しや[Windows]キーの無効/有効切り換えといった必要最低限のところは押さえてあるが,日本語配列を採用するのであれば,[半角/全角]キーなど,ほかのキーも無効にさせてほしいところだ。昨今のゲーマー向けキーボード上位モデルならけっこう当たり前の要素が抜けているというのは,やはり残念である。
![]() USBケーブルは細く,見た目が頼りない。ちなみに長さは実測約2mだった |
![]() パームレスト部はつや消しだが汚れは目立ちやすく,質感も決して高くない |
その意味でCELERITAS IIは,今回も非常にZOWIEらしい製品に仕上がっているとまとめることができそうだ。初代CELERITASの抱えていた問題に対して真摯に向き合い,新しいキースイッチを探しだして,さらにそれに徹底したカスタマイズを施すといった,多大な開発コストと時間を惜しげもなく注ぎ込みつつ,見た目とかそういった,「こだわったところで使い勝手や勝率を左右するものではない」部分はハナから二の次という,ZOWIE開発チームの思想が手に取るように分かるキーボードなのである。
なのでCELERITAS IIに2万円の価値を見出せるかどうかは,ZOWIEの考え方に共感できるかどうかにかかっている。ZOWIEの考えを理解し,かつキーの押下感に惚れた人にとって,CELERITAS IIは唯一無二の存在となるだろう。
![]() |
- 関連タイトル:
ZOWIE(旧称:ZOWIE GEAR)
- この記事のURL:
All rights reserved Briccity International, LLC DBA: Zowie Gear Copyright 2009
























































